时间:2022-09-13 点击量:
2022年4月,工程技术1区TOP期刊《Energy Conversion and Management》(影响因子IF:9.709)刊登了课题组赵磊博士生的最新成果:Physical environmental and behavioral drivers of heat recovery ventilation system feasibility in various climate zones(https://doi.org/10.1016/j.enconman.2022.115586),该研究由国家十三五重点研发计划“绿色建筑及建筑工业化”项目资助(项目号:2016YFC0700500)。

原文下载链接(5月30日前免费下载):https://authors.elsevier.com/c/1eu4j_4UWsNSS~
作者:
Lei Zhao(赵磊,第一作者),Junjie Liu(刘俊杰,通讯作者)
研究亮点:
对采用热回收通风系统的住宅建筑进行为期一年的实际运行监测;
热回收通风系统的热回收效率在日常使用中波动较大,并获得了真实工况的运行效率曲线;
热回收通风系统相比于无热回收功能机械通风系统日均运行时间延长了47.2%;
气候特征和人员行为是影响热回收通风系统适用性的重要因素。
研究背景:
建筑用能是全世界关注的一个主要问题,2020年建筑行业占全球能源总需求的36%。近几十年来,建筑围护结构的气密性有了很大的提高,增加了室内空气质量的通风需求,并增加了与通风系统相关的热损失。通风系统目前是世界上最大的电动机能源贡献者,占住宅建筑能源使用的30–60%。在建筑中使用热回收通风(HRV)系统是解决这一问题的理想方案。
2019年,全球商业和住宅建筑能耗约为1.2亿TJ,节能减排已成为世界范围内迫在眉睫需要解决的问题。提高建筑气密性降低建筑能耗,带来了室内环境的问题,越来越多的住宅配备了通风系统。其通入的新风必须消耗大量能量,才能将室外空气调节到室内舒适水平。考虑到热舒适性和节能要求,越来越多的HRV系统被用于商业建筑和住宅中。一般来说,HRV系统包括显热回收系统和全热(显热+潜热)回收系统,通过风机与换热器部件,将建筑内部排风与室外新风进行热交换,从而达到节能的目的。
为了评估HRV系统的性能,近20年来各国学者进行了大量研究。然而,理论模拟方法和实验室实验测量无法反映HRV系统在真实环境下的实际性能。许多因素影响HRV系统的效率和适用性,如室内温度设定、室外风压、建筑热性能及人员行为等。这些多重干扰因素使得很难用理论研究或几个案例研究来描述不同气候区域HRV系统整体特征和性能。因此,获取真实环境下HRV系统性能对于其适用性分析及运行策略选择至关重要。
本研究中,提出了一种在现场监测中评估HRV系统的新方法,并在中国三个气候区的25个住宅中进行了为期一年的实地测量,获得了不同气候区HRV系统性能的真实数据,给出了HRV系统在实际工况下的效率曲线。中国住宅通风系统的运行模式明显不同于发达国家,分析了该运行模式下的运行行为和经济适用性。本研究的目的是探究HRV系统真实运行性能,并为不同气候区的系统设计和运行策略提供参考数据。
主要成果:
1.不同气候区热回收通风系统运行时长
对比分析了不同气候区热回收系统日均开启时长;
热回收系统日均开启时长为13.4h,非热回收机械通风系统日均开启时长为9.1h;
热回收系统运行存在明显的季节特征。

图1.全年不同气候区HRV系统的每日运行时间对比图

图2.不同季节HRV系统与机械通风系统每日运行时间对比图
2.不同气候区中热回收系统回收效率分析
热回收通风系统平均回收效率在严寒地区为80%,在寒冷地区为70%,在夏热冬冷地区低于50%;
热回收通风系统的效率在日常使用中变化大,并受室内和室外空气参数的影响;
热回收系统在真实工况下热回收效率低于实验室试验工况。

图3.冬季工况不同气候区内热回收系统真实效率对比图

图4.热回收系统实测效率与文献结果对比图
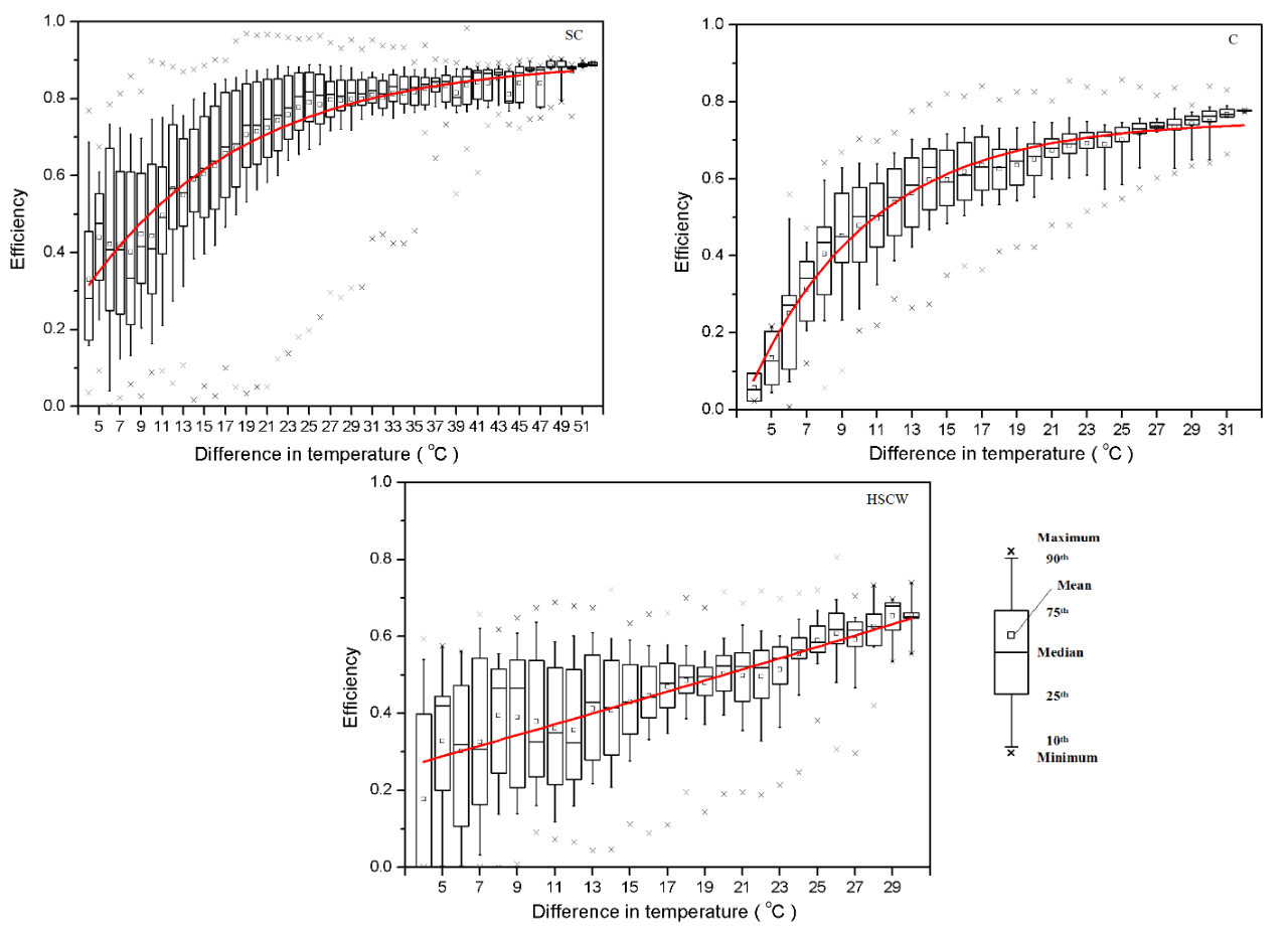
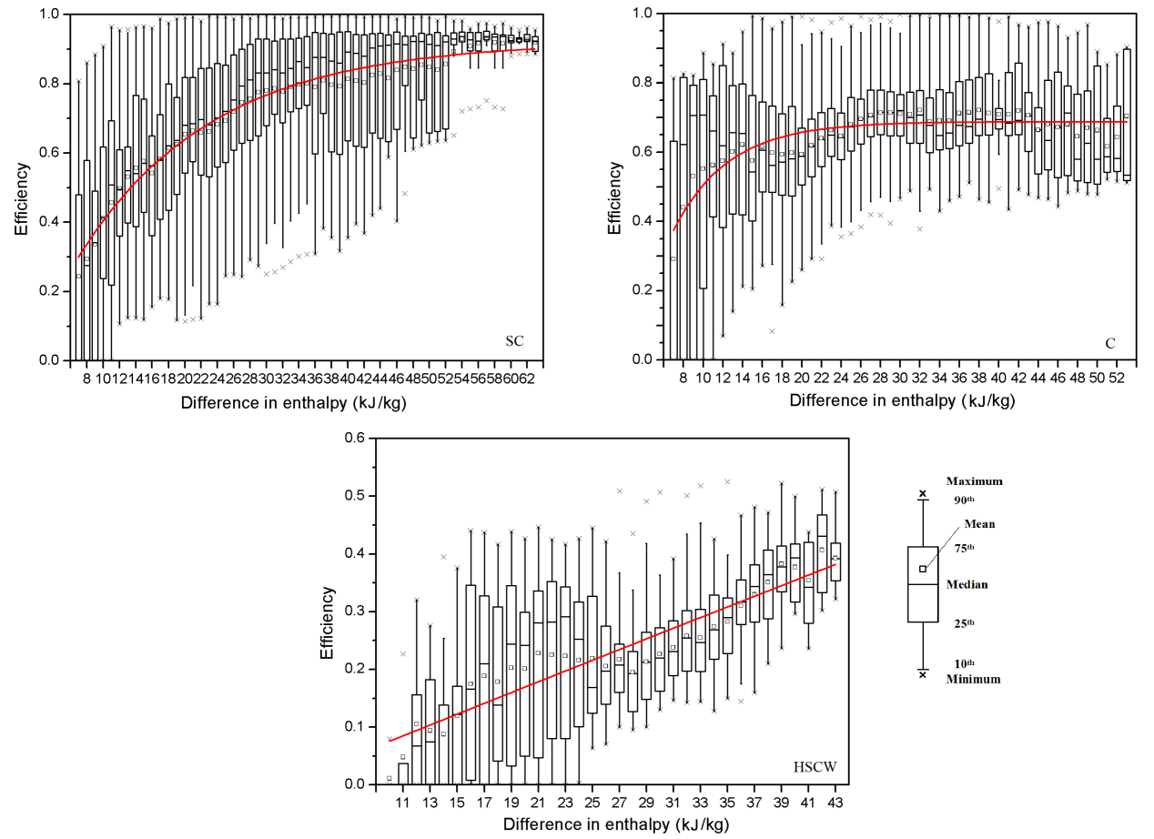
3.不同气候区室内外温差焓差对于热回收效率影响
室内外温差超过9℃,严寒气候区的热回收系统可达到收支平衡(回收与消耗相抵),对于寒冷地区和夏热冬冷地区分别需要9℃和10℃;
室内外焓差超过7kJ/kg,严寒气候区的热回收系统可达到收支平衡(回收与消耗相抵),对于寒冷地区和夏热冬冷地区分别需要7kJ/kg和10kJ/kg;
随着室内外温差、焓差增加,最高效率和最低效率之间的差距逐渐缩小,热回收系统效率趋于稳定。

图5.室内外温差对显热回收效率的影响分析图

图6.室内外焓差对全热回收效率的影响分析图
4.热回收系统经济性适用分析
热回收系统初投资和运行行为对系统回收期有很大影响;
单位风量理论能量回收率从北向南减少,严寒地区可达7.96;
综合考虑气候特性及人员行为,热回收系统仅推荐严寒地区住宅装配。

图7.不同气候区热回收系统单位回收率及回收期分析图
本文引用格式:
Lei Zhao, Junjie Liu. Physical environmental and behavioral drivers of heat recovery ventilation system feasibility in various climate zones. Energy Convers Manage. Available online 10 April 2022
原文出处:
https://doi.org/10.1016/j.enconman.2022.115586