时间:2022-09-13 点击量:
2022年1月,土木工程领域一区期刊Building and Environment刊登了课题组博士生赵润民的最新成果:Generalizability evaluation of k-ε models calibrated by using ensemble Kalman filtering for urban airflow and airborne contaminant dispersion(doi:10.1016/j.buildenv.2022.108823).

原文连接:https://doi.org/10.1016/j.buildenv.2022.108823
第一作者:赵润民,环境科学与工程学院,博士
通讯作者:刘素梅,助理研究员
研究亮点:
1.采用集合卡尔曼滤波方法为城市风环境及污染物扩散问题校准湍流模型经验参数;
2.采用建筑绕流再附着长度作为优化目标,提升了优化后模型的准确性;
3.校准后模型的通用性与模型表达式紧密相关;
4.校准后的MMK模型表现出对单建筑绕流问题的通用性潜力;
1.Employment of EnKF to calibrate model coefficients for urban problems.
2.Main calibrations based on reattachment lengths for improved accuracy.
3.Model generalizability found to be closely related to model formulations.
4.Potential generalizability of the calibrated MMK to single-building problems.
摘要:
由于湍流模型的固有缺陷和模型经验参数带来的不确定性,基于雷诺平均纳维斯托克斯方程(RANS)的湍流模型对于城市风场和气载污染物扩散的预测具有较低的准确性。前人的研究尝试通过参数校准提高RANS模型在城市风场及污染物扩散问题中的准确性。然而,前人得到的模型仍然不能准确预测流场的关键特征,如回流区再附着长度。同时,在前人的研究中也缺乏对所得到的模型的通用性检验。为了在前人研究的基础上进一步优化湍流模型的准确性和通用性,本研究考虑了优化目标和模型表达式的影响。采用集合卡尔曼滤波(EnKF)方法校准了六种k-ε模型并进行了对比。开展了缩尺风洞实验,获取了流动的再附着长度及空间测点数据,为模型校准提供数据集。本研究所提出的基于再附着长度进行参数校准的方案使得校准后模型能够精确复现流动的关键特征。借助两套以不同流态为特征的测试用数据集,比较了修正前后一共12种湍流模型的通用性。测试指标包括再附着长度、速度分布、湍动能分布及污染物浓度分布。各模型虽以同一目标进行校准,但不同表达式带来了显著的通用性区别。校准后的Murakami-Mochida-Kondo k-ε(MMK)模型体现出对于单建筑绕流问题的通用性潜力。但是,基于单建筑绕流问题校准的湍流模型对于以滑移流为特征的街谷流动问题通用性有限。
The low accuracy of Reynolds-averaged Navier-Stokes (RANS) modeling of urban airflow and airborne pollutant
dispersion is attributed to model flaws and uncertainty contributed by closure coefficients. Previous studies have
attempted to improve the performance of RANS modeling by ad hoc calibration of the turbulence model coefficients
specifically for urban problems. However, these models failed to accurately reproduce the key features like the
reattachment lengths. In addition, there was a lack of generalizability evaluations of the calibrated models. To optimize
the accuracy and generalizability of the turbulence model, this study considered the effects of optimization objectives
and model formulations. Six k-ε based turbulence models calibrated using the ensemble Kalman filtering (EnKF)
approach were compared. A wind tunnel experiment consisting of key features of the airflow around a single-building
model was conducted to provide the training data. The proposed optimization objective prioritizing the reproduction of
the reattachment lengths in the calibrations enabled the calibrated models to capture the key features of the airflow with better accuracy. The six turbulence models before and after the calibrations were compared for a single-building test
case and a building-array test case with respect to the reattachment lengths, velocity, turbulence kinetic energy, and
airborne contaminant concentration. The calibrated models with different formulations exhibit distinctive
generalizability. The calibrated Murakami-Mochida-Kondo k-ε model (MMK) exhibited strong potential for
generalizability to single-building problems. However, the generalization from the single-building isolated roughness
flow regime to the street canyon skimming flow regime is limited.
主要插图:

(结合CFD结果与实验测量结果的差值,通过EnKF循环迭代更新参数直至参数收敛)
Figure 1 Framework of the calibration methods
(The calibration was based on an EnKF loop that iteratively updated the model coefficients determined from the discrepancy between CFD results and observation data from a wind tunnel experiment.)

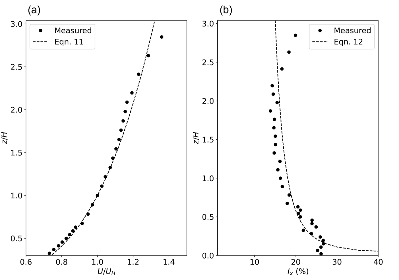
图2 风洞实验所构造的大气边界层流动速度及湍流度分布
Figure 2 Profiles of (a) velocity and (b) turbulence intensity of the formulated ABL flow for the wind-tunnel
experiment.

图3 风洞实验示意图及测点布置
Figure 3 (a) Schematic of the wind tunnel experiment; (b) measurement locations.

图4 使用不同优化目标校准后的Realizable k-ε 模型对于实测速度场的复现情况
Figure 4 Vertical profiles of normalized streamwise velocity magnitude in the vertical section y = 0 using three sets of
RKE coefficients and measured experimentally.

图5 修正前后的SKE和MMK模型对于单建筑测试算例速度场的预测情况
Figure 5 Contours of normalized velocity magnitude using (a) SKEO, (b) SKEC, (c) MMKO, (d) MMKC,
(e) determined experimentally (remade from the database [52]), and (f) vertical profiles of normalized streamwise velocity, in the vertical plane y = 0 for test case I (1:1:2 building model).

图6 修正前后的SKE和MMK模型对于单建筑测试算例湍动能场的预测情况
Figure 6 Contours of normalized turbulence kinetic energy using (a) SKEO, (b) SKEC, (c) MMKO, (d) MMKC,
(e) determined experimentally (remade from the database [52]), and (f) vertical profiles of normalized turbulence
kinetic energy, in the vertical plane y = 0 for test case I (1:1:2 building model).

图7 修正前后的SKE和MMK模型对于单建筑测试算例浓度场的预测情况
Figure 7 Contours of normalized tracer-gas concentration (C/C0) using (a) SKEO, (b) SKEC, (c) MMKO, (d) MMKC,
(e) determined experimentally (remade from the database [52]), and (f) vertical profiles of normalized tracer-gas
concentration, in the vertical plane y = 0 for test case I (1:1:2 building model).

图8 修正前后的SKE和MMK模型在建筑群测试算例中对速度、湍动能及浓度场的预测情况
Figure 8 Vertical profiles of (a) normalized velocity magnitude (U/Uref), (b) normalized turbulence kinetic energy,
and (c) normalized concentration (C/C0) in (d) the vertical lines in the canyons downwind of the source (y = 0), for test
case II (building array).