时间:2022-09-13 点击量:
2021年12月,环境科学与生态学1区TOP期刊《Environment International》(影响因子IF:9.621)刊登了课题组尹奕卉博士生和清华大学何峻州博士合作的最新成果:Identification of key volatile organic compounds in aircraft cabins and associated inhalation health risks,2022(https://doi.org/10.1016/j.envint.2021.106999),该研究由商飞-波音联合项目“Assessment of Volatile Organic Compounds in Commercial Airliner Cabins”资助。

作者:
Yihui Yin(尹奕卉,共同一作),Junzhou He(何峻州,共同一作),Lei Zhao(赵磊),Jingjing Pei(裴晶晶,通讯作者),Xudong Yang(杨旭东),Yuexia Sun(孙越霞),Xikang Cui(崔玺康),Chao-Hsin Lin(林钊信),Daniel Wei(魏志刚),Qingyan Chen(陈清焰)
研究亮点:
对比客机座舱环境与建筑住宅环境的共性VOC及特征VOC;
提出6种机舱环境中应优先控制的VOCs——甲苯、苯、四氯乙烯、三氯甲烷、1,2-二氯乙烷、萘;
引入神经网络算法预测座舱TVOC浓度;
建议机舱内部污染物浓度限值分级设计。
研究背景:
人一生中约有5.5%的时间在各类交通工具内度过,与户外活动时长相当,仅次于人在住宅内花费的时间。国际航空运输协会(IATA)报告显示,全球航空旅客数量持续增长,2018年超过43亿次旅行,全球化已使航空旅行成为常态。COVID-19的出现更是强调了座舱空气质量(CAQ)直接关乎乘客及机组人员的安全、健康及舒适。挥发性有机化合物(VOCs)作为CAQ关键指标之一,必须得到有效控制。
由于座舱空气品质引起的飞机紧急事件并不罕见(被报导的烟雾事件频率在0.02-0.5%)。美国联邦航空管理局(FAA)根据事故/事件数据系统(AIDS)与服务困难报告系统(SDRS)的数据统计显示,平均每年约有20起客舱空气污染事件,其中23%来源于环境控制系统(ECS),17%来源于发动机油,液压油和航空燃油。除了此类直接影响乘客人身安全的污染物急性暴露外,一般飞行状态下的座舱空气质量也与人员健康和舒适密切相关。欧洲航空安全局(EASA)的一项研究报告称,超过60%的飞机空乘人员遇到过客舱空气污染事件,并认为对自己的舒适感及判断、操作能力有影响。事实上,由于缺乏可靠的CAQ监测数据,污染物非急性暴露更难以被记录和报导。已有许多研究对于其他建造环境下人员VOC健康暴露风险进行了评估,然而尚缺乏对于机舱环境中人员对于VOC长期慢性暴露的健康风险评估。
总结国内外现有文献,机舱VOC研究尚处于“摸清现状”阶段,实测研究较多(详见原文)。同时,对于机舱环境,仅有欧洲航空工业协会(AECMA)标准prEN4618-2013和俄罗斯航空规章AP25-2005给定了少数几种VOC浓度限值。其他相关标准,如美国ASHRAE161-2013,美国联邦航空规章FAR-25-2017,以及中国民用航空规章CCAR-25-R4-2016,尚未给出VOCs指标。而研究CAQ的最终目的是为了利用通风或净化手段控制污染物浓度。为实现控制及标准制定,目标污染物不宜过多。当采用净化手段时,少量、明确的目标VOC以便选择合适的净化技术及材料,从而保证净化效率并提高设备使用寿命;当采用通风手段时,获知准确的总VOC(TVOC)浓度有助于制定合理的通风策略。综上,本研究致力于识别座舱关键VOCs并预测TVOC浓度。
主要成果:
1.共性VOC及机舱特征VOC
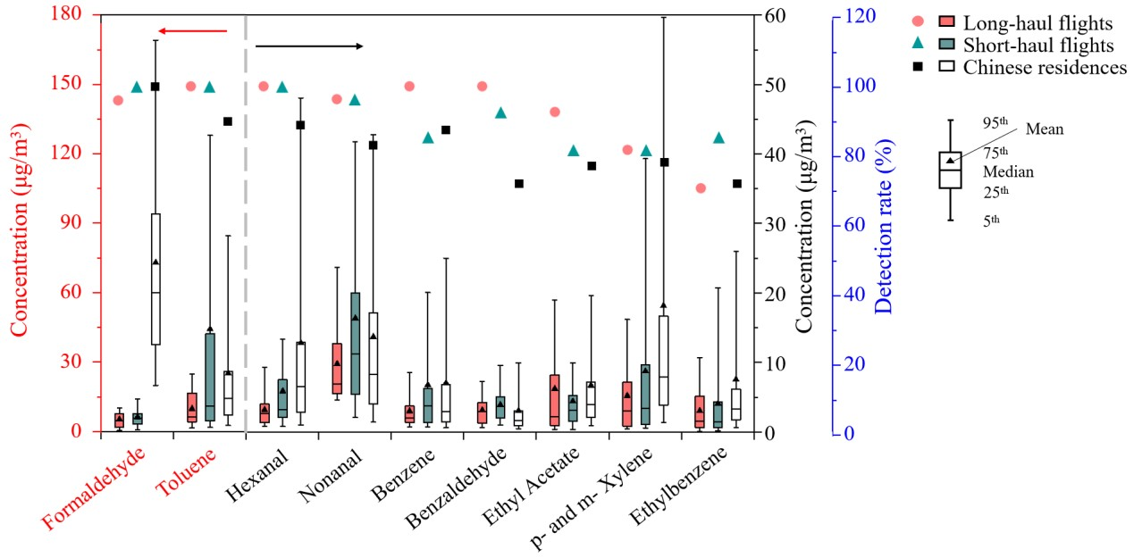
对比分析了建筑室内环境(251民居住宅入户实测数据)与飞机座舱环境(56架商业客机上机实测数据)的VOC数据库。
甲醛、甲苯、己醛、壬醛、苯、苯甲醛、乙酸乙酯、对&间二甲苯、乙苯为机舱环境与住宅环境中的共性VOC;机舱内甲醛浓度显著低于住宅环境内。
提出四氯乙烯、柠檬烯、萘等物质为机舱环境中的特征VOC;其中机舱中四氯乙烯浓度显著高于住宅建筑中。

图1.机舱环境与住宅环境内检出率均高于70%的VOCs及其浓度分布

图2.机舱环境中检出率显著高于住宅环境的VOCs及其浓度分布
2.机舱中具有健康风险的VOCs
基于实测数据,依据EPA提出的评估方法计算了乘客及机组人员的全寿命污染物暴露量;再利用IRIS及OEHHA系统污染物单位吸入风险值,评估了人员吸入致癌/非致癌风险。
机组人员对甲醛、苯、四氯乙烯、三氯甲烷、萘、1,2二氯乙烷的吸入致癌风险高于EPA限值(>1E-06);乘客吸入癌症风险及全员非致癌风险均低于标准推荐值。
与文献数据相比,VOCs在不同环境下的综合健康风险普遍高于机舱环境,这与暴露时长密切相关。但在这样较短的暴露时间内,仍存在6种VOCs具备潜在过量吸入健康风险,更说明对客舱环境关键VOCs控制的必要性。

图3.机舱环境中乘客及机组人员吸入致癌风险评估


图4.机舱环境中乘客及机组人员非致癌风险评估
3.神经网络算法预测机舱内TVOC浓度
TVOC是表征封闭环境空气质量水平的有效指标。基于小样本量实测数据,引入人工智能算法进行TVOC预测,为通风控制提供边界条件。
利用灰色关联分析筛选出与TVOC高度相关的稳定存在于机舱中的VOC,利用实验的平均损失值来估计和确定BP神经网络的隐藏层中的神经元数量及迭代次数。
采用BP神经网络算法预测TVOC,预测值与实测值的平均误差为55μg/m3(R2 = 0.80)。

图5.a) 人工智能预测TVOC浓度流程图

b) TVOC浓度预测值与实测值散点图
4.不同建造环境下VOC标准限值对比
各环境现有标准中VOC浓度限值排序:
飞机座舱环境限值(prEN 4618, 2013; Russian standard AP25, 2005)≈职业暴露环境限值(GBZ 2.1,2019; ACGIH, 2019; NIOSH, 2007)>新车舱内环境限值(GB/T 27630, 2011; KOR, 2007; JAMA,2005)>建筑室内环境限值(WHO, 2000a;GB/T 18883, 2020; WHO, 2000b; WHO, 2010)>基于人体健康暴露给出的限值(OEHHA, 2021; ATSDR, 2021).
建议采用分级设计给出客机座舱污染物浓度限值:
安全限值:为应对紧急事件(如航空燃油和/或润滑油泄漏),可参考相关职业安全暴露标准
健康限值:为消除乘客和机组人员的健康风险,可参照毒理学研究提供的污染物接触限值
舒适限值:在舒适感知领域,可通过考虑污染物与人类感知(如气味感知)的相关性分析来确定
本文引用格式:
Yin, Y., He, J.,Zhao, L., Pei, J., Yang, X., Sun, Y., Cui, X., Lin, C-H., Wei, D., Chen, Q..2022. Identification of key volatile organic compounds in aircraft cabins andassociated inhalation health risks. Environ.Int. 158, 106999.
原文出处:https://doi.org/10.1016/j.envint.2021.106999(开源Open Access)