时间:2022-10-05 点击量:

课题组陈瑞清博士在中科院一区期刊《Journal of Cleaner Production》(JCR Q1, IF=11.072)发表了基于机器学习模型对低压下多孔吸附剂上氨气和水蒸气的吸附平衡的研究。
题目:
Adsorption equilibrium of ammonia and water on porous adsorbents at low pressure: Machine learning-based models
基于机器学习模型对低压下多孔吸附剂上氨气和水蒸气的吸附平衡的研究
作者:
Ruiqing Chen (陈瑞清,一作), Junjie Liu (刘俊杰), Xilei Dai (戴希磊,通讯作者)
研究亮点:
(1)M-2吸附氨气的最佳模型为Toth等温线模型(RMSE= 0.034)。
(2)M-1、M-3和M-4吸附氨气的最佳模型为DS Langmuir等温线模型。
(3)本研究中的吸附剂吸附水蒸气的最佳模型为DS等温线模型。
(4)基于注意力机制的循环神经网络模型为吸附等温线提供了合理的预测。
研究背景:
氨气是半导体洁净室中的一种有害气体。多孔碳质吸附剂因其应用的可行性和吸附技术的成熟性而被广泛应用于氨气吸附。此外,环境湿度会影响多孔碳质吸附剂对氨气的吸附。因此,研究多孔碳质吸附剂对氨气和水蒸气的吸附性能具有重要意义。
吸附等温线是了解材料吸附性能的重要参数。通过材料的吸附等温线可以了解材料的吸附机理。已有大量的综述和研究对传统的吸附等温线模型进行了研究。这些研究利用传统的吸附等温线模型对氨气的吸附等温线的实验数据进行拟合,评价不同模型对实验数据的拟合效果。但是这些研究都是在线性坐标上绘制的,缺乏对低分压下的高分辨率的氨气吸附等温线实验数据的研究。到目前为止,很少有研究报道了低分压下的高分辨率氨气吸附等温线的实验数据。
近年来,机器学习已被应用于预测不同吸附剂的吸附行为。机器学习模型的优点是只利用材料的基本的表征参数作为输入就可以预测吸附行为。根据以往的研究推断,机器学习模型在吸附容量预测方面可以提供可靠的精度。这些模型的优点是只需要吸附材料基本的表征参数作为输入,不需要像传统吸附等温线模型那样依赖于大量的假设和原始的吸附等温线数据。然而,以往的研究中建立的模型仅使用一组特征来预测不同压力下的吸附容量。这可能会限制模型的准确性,因为吸附剂特性对不同压力下吸附性能的影响是不同的。
基于注意力的神经网络模型已经证明了注意力机制在提高图像识别和翻译预测精度方面的有效性。然而,注意力机制在预测材料吸附等温线方面的性能目前尚不清楚。考虑到材料吸附等温线的连续性,循环神经网络模型的性能应优于以往研究中广泛使用的神经网络模型。此外,循环神经网络模型中的注意力机制能够针对不同的分压对每种材料特性赋予不同的权重,有助于提高吸附等温线的预测精度。由于这些优点,基于注意力机制的循环神经网络模型对吸附等温线的预测精度应该比传统机器学习模型更高。
在本研究中,提出了一种基于注意力机制的循环神经网络模型来研究注意力机制在提高材料吸附性能预测方面的有效性。该模型仅以材料的基本表征参数为输入,实现了吸附等温线的预测。为了证实注意力机制在提高吸附等温线预测性能方面的有效性,利用四种吸附材料在低分压下的氨气吸附等温线和水蒸气吸附等温线对所提模型的预测性能进行了验证。并将所提出的机器学习模型与传统吸附等温线模型进行比较,进一步证实了两者在吸附等温线类型上的一致性。
主要成果:
(1)吸附材料的基本表征结果
在接近1.0 bar时, 氨气的吸附量遵循以下顺序:M-3 (11.08 mmol/g) > M-2 (9.40 mmol/g) > M-1 (6.13 mmol/g) > M-4 (5.19 mmol/g)。
在接近0.030 bar时,水蒸气的吸附量遵循以下顺序:M-2 (31.30 mmol/g) > M-1 (19.37 mmol/g) > M-4 (16.82 mmol/g) > M-3 (11.43 mmol/g)。
在0.014bar时,水蒸气的吸附量遵循以下顺序:M-4 (10.0 mmol/g) > M-2 (6.0 mmol/g) > M-3 (5.0 mmol/g) > M-1 (1.0 mmol/g)。
M-2在298 K下,低分压(10^-6 - 10^-4bar: 1- 100 ppm)范围内氨气的吸附能力较好,而在小于或等于0.014 bar时(RH= 45%),水蒸气的吸附能力较差。

Figure 1. Ammonia isotherms on M-1, M-2, M-3, and M-4 at 298 K plotted on a (a) linear scale and (b) log-log scale.
图1. 在298 K下,M-1、M-2、M-3和M-4上的氨气吸附等温线:(a)为线性坐标和(b)为对数标度。

Figure 2. Water isotherms on M-1, M-2, M-3, and M-4 at 298 K plotted on a (a) linear scale and (b) log-log scale.
图2. 在298 K下,M-1、M-2、M-3和M-4上的水蒸气吸附等温线:(a)为线性坐标和(b)为对数标度。
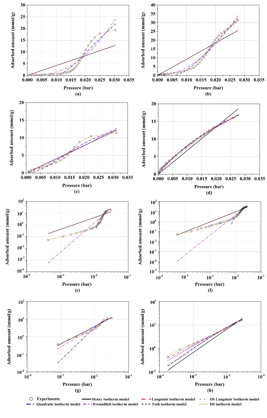
(2)氨气吸附等温线模型
RMSE值证实M-1、M-3和M-4三种材料的氨气吸附等温线的最佳拟合模型为DS Langmuir模型。M-2材料的氨气吸附等温线的最佳模型为Toth等温线模型。M-1和M-4两种材料的氨气吸附等温线在整个压力范围内符合DS Langmuir模型。而M-2和M-3在10^-6bar~10^-3bar范围内的氨气吸附等温线偏离DS Langmuir模型。
Figure 3. Isotherm models for ammonia adsorption on activated carbons (a) M-1, (b) M-2, (c) M-3, and (d) M-4 plotted on the linear scale and (e) M-1, (f) M-2, (g) M-3, and (h) M-4 plotted on the log-log scale at 298 K.
图3.在298 K时,298K下活性炭吸附氨气的等温线模型:线性坐标下的图为(a) M-1,(b) M-2,(c) M-3和(d) M-4和对数坐标下的图为(e) M-1,(f) M-2,(g) M-3和(h) M-4
(3)水蒸气吸附等温线模型
RMSE值证实M-1、M-2、M-3和M-4三种材料的水蒸气的吸附等温线的最佳拟合模型为DS模型。M-1、M-2、M-3和M-4的DS等温线模型的RMSE值分别为0.037、0.024、0.016和0.015。

Figure 4. Isotherm models for water adsorption on activated carbons (a) M-1, (b) M-2, (c) M-3, and (d) M-4 plotted on the linear scale and (e) M-1, (f) M-2, (g) M-3, and (h) M-4 plotted on the log-log scale at 298 K.
图4. 在298 K时,活性炭吸附水蒸气的等温线模型:线性坐标下的图为(a) M-1,(b) M-2,(c) M-3和(d) M-4和对数坐标下的图为(e) M-1,(f) M-2,(g) M-3和(h) M-4。
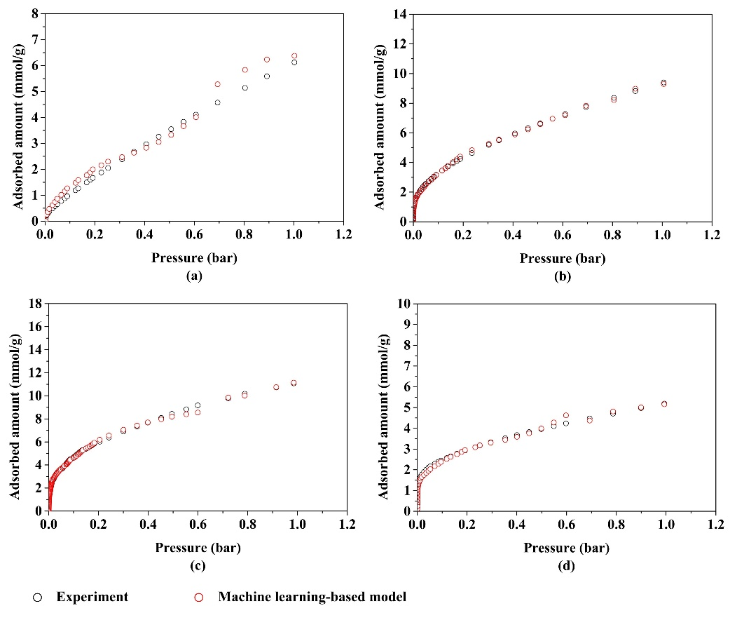
(4)基于机器学习的模型
M-1、M-2、M-3和M-4四种材料基于机器学习的氨气吸附等温线的预测模型的R^2为0.9828-0.9984,RMSE为0.079-0.297,MAPE为4.09%-18.68%。
四种材料基于机器学习的水蒸气吸附等温线的预测模型的R^2为0.9687-0.9997,RMSE为0.145-0.686,MAPE为3.68%-20.58%。
MAPE数值表明本研究中训练良好的机器学习模型提供了合理的氨气与水蒸气吸附等温线的预测。

Figure 5. Adsorption capacities predicted via the machine learning-based model and measured by the static volumetric method for ammonia on (a) M-1, (b) M-2, (c) M-3, and (d) M-4 plotted on a linear scale at 298 K.
图5.在298 K的线性坐标下,基于机器学习模型预测和通过静态体积法测量的氨气吸附容量:(a) M-1,(b) M-2,(c) M-3和(d) M-4。

Figure 6. Adsorption capacities predicted via the machine learning-based model and measured by the static volumetric method for water on (a) M-1, (b) M-2, (c) M-3, and (d) M-4 plotted on a linear scale at 298 K.
图6.在298 K的线性坐标下,基于机器学习模型预测和通过静态体积法测量的水蒸气的吸附容量:(a) M-1,(b) M-2,(c) M-3和(d) M-4。
文章引用格式:
Chen R, Liu J, Dai X. Adsorption equilibrium of ammonia and water on porous adsorbents at low pressure: Machine
learning-based models. Journal of Cleaner Production. 2022, 134351. https://doi.org/10.1016/j.jclepro.2022.134351.