时间:2024-01-02 点击量:
建造环境课题组在中科院SCI二区期刊Journal of Building Engineering(JCR Q1 IF6.5)上发表了关于工业厂房喷漆车间喷雾射流颗粒物逃逸现象PIV实验分析的研究论文。
题目: 工业厂房空气喷雾射流逃逸现象的PIV实验分析(DOI: 10.1016/j.jobe.2023.108384)该研究获得“十三五”国家重点研发项目资助
作者:刘进宇,赵磊,王茜文,姜楠,刘俊杰(通讯作者)

研究亮点:
1.逃逸现象空气雾化喷枪流场的2D-PIV研究。
2.喷射射流的边缘区域出现强烈的湍流强度。
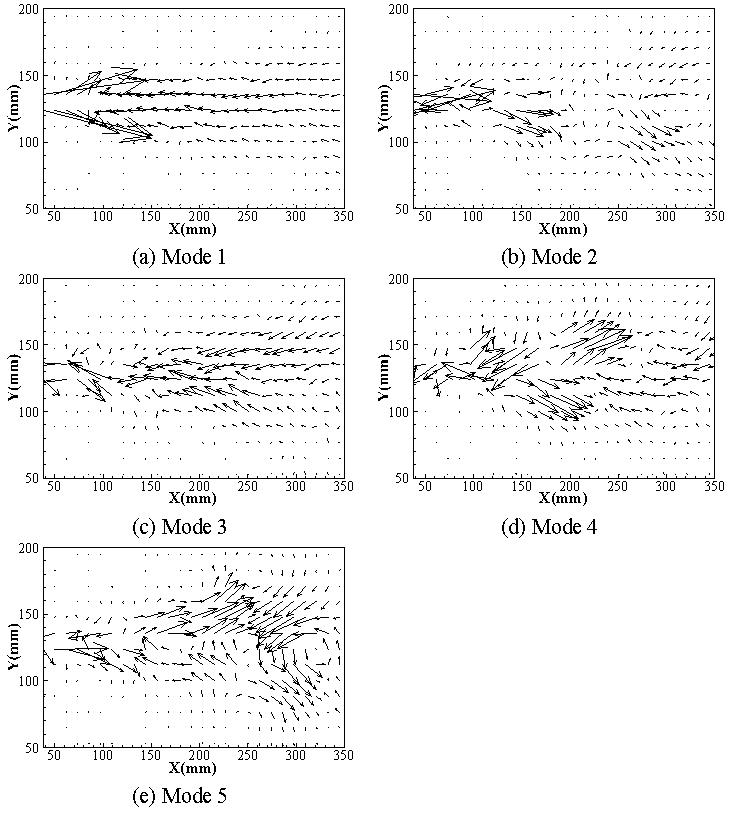
3.POD分析表明,径向横流运动是造成喷漆颗粒物逃逸的主要原因。
摘要:
低效的空气喷涂会从喷涂射流中释放出大量的油漆颗粒和VOCs,严重危害操作人员的健康。空气雾化喷枪的流场特性对喷雾效率有重要影响。为了研究空气喷涂过程中油漆颗粒逸出的原因,提高源头效率,遏制污染物逸出进入厂房,本研究通过二维粒子图像测速(PIV)系统测量了空气喷枪的整个流场。结果表明:在雷诺数为3000的喷嘴附近,喷射速度最大可达28 m/s,随后由于与周围空气的强烈动量交换而迅速衰减。在漆雾与空气交界处的径向速度先增大后减小(最大0.5 m/s),射流边界处湍流强度较大。此外,喷嘴和射流边界处表现出较高的间歇性与非定常特征。采用本征正交分解(POD)方法对湍流结构进行了研究,结果表明,喷雾径向速度是喷射射流径向扩散发展的主要来源。最后,计算得出空气喷雾喷涂效率在53% ~ 58%之间,抑制射流径向运动可使喷涂效率提高40%,这对控制漆雾气溶胶逸出,改善喷涂车间工作环境至关重要。
背景:
目前涂料行业的整体喷涂效率为40%-60%。油漆气溶胶泄漏会造成许多污染物的释放,包括喷涂过程中产生的细颗粒和喷涂后溶剂型油漆排放的挥发性气态污染物VOCs。传统的通风系统在清除大型工业喷涂厂房中的污染物方面是无效的,并且会促进本应被隔离的局部污染物的扩散。提高喷涂效率是实现工业喷涂过程中节能、环保、降本的主要技术手段和最有效的途径。最近颁布的环境法规也提出了对越来越有效的过度喷雾捕获技术的需求。
射流速度分布、扩散、卷吸空气对喷涂效率和涂料多相混合有很大的影响,流动特性在很大程度上反映了喷嘴的雾化质量。流场可以反应漆雾到达物体表面之前的流动状态,判断漆雾射流携带的涂料颗粒物是否逃逸。为了提高喷雾效率,减少污染,有必要了解喷雾射流的动力学特性。
本文采用PIV系统对空气喷枪的流场进行了测量揭示了空气喷枪漆雾逸出的机理,找出了减少漆雾逸出机理的方法。基于整体速度信息和主导流结构分解的结果,对涂料逃逸机理进行了研究,根据获得的喷雾流场数据计算了喷雾效率。该研究为优化喷枪结构,提高喷涂效率,减少漆雾逸出提供了理论依据。
主要成果:
1.轴向射流速度呈椭圆包络线,喷射射流在喷嘴处的最大速度达到28 m/s,随后由于与周围空气的强烈动量交换而逐渐衰减。靠近主流区内部,从出口向外径向速度逐渐增大到0.5 m/s,这意味着气体在主流区向两侧移动,气体的上下运动也会带动漆雾上下移动,造成漆雾逸出。

2.高速射流与周围空气交界处有高的湍流强度,意味着与周围空气有强烈相互作用,这种充分发展的高湍流状态对应于高振幅波动。

3. 本征正交分解(Proper Orthogonal Decomposition, POD)结果显示模态一有更多的能量并占据主导地位。通过模态分解得到了射流的主要瞬时波动结构,径向的波动是喷漆过程中主要的波动形式。


4.工作区喷涂效率为53%-58%。

结论:
1.轴向速度衰减快,径向速度由内向外增加至0.5 m/s。
2.喷枪射流边界处湍流强度高,漆雾与空气发生强烈作用,导致逸出。
3.正交分解(POD)结果显示,径向速度波动是漆雾逃逸的主要原因。
4.工作区喷涂效率经粒子逃逸后为53%-58%。
引用格式:Liu J, Zhao L, Wang Q, et al. PIV experimental analysis of the escape phenomenon of air spraying jet in factories[J]. Journal of Building Engineering, 2023: 108384.
原文链接:https://www.sciencedirect.com/science/article/pii/S2352710223025676
稿件编辑:刘进宇
稿件审核:刘俊杰、田媛、于欣宇