时间:2024-05-14 点击量:

课题组在中科院SCI一区期刊《Environment International》(JCR Q1, IF=11.8)上发表了利用冬春两季的实测数据,分析地铁站颗粒物空气污染现状与地铁工作人员病态建筑综合征症的研究论文。
题目: Indoor air quality and sick-building syndrome at a metro station in Tianjin, China
天津地铁站室内空气质量及病态建筑综合征(DOI: https://doi.org/10.1016/j.envint.2024.108673)
作者:王祖琨(第一作者),刘俊杰,姚明瑶(通讯作者),何明桐,商文哲,董昕玥
研究亮点:
l地铁工作人员没有病态建筑综合征(SBS)症状的比例从春季的 83% 降至冬季的 25%
l冬季地铁工作人员对室内空气质量不满意率超过30%
l冬季站台空气细颗粒物中Mo, Sb, Fe元素的浓度分别是大气细颗粒物中的88,52,和27倍
l冬季较低的相对湿度可能增加含金属颗粒物的释放
l应尽快提出地铁站台PM2.5细颗粒物的空气质量控制标准和措施
图形摘要:

摘要:
地铁系统在全球公共交通中发挥着至关重要的作用。地铁站每天都有大量的乘客,确保地铁站内空气质量至关重要。本研究对天津一个典型地铁站的室内空气质量(IAQ)、工作人员满意度、细颗粒物(PM)化学成分和重金属健康风险进行了冬、春两季测量。尽管通风换气次数足以使二氧化碳浓度保持在 1000 ppm 以下,但报告无病态建筑综合征症的员工比例从春季的 83% 降至冬季的25%。冬季地铁站台上空气动力学直径小于2.5 μm(PM2.5)的颗粒物的平均质量浓度为 68.0 ± 42.2 μg/m3,PM1的平均质量浓度为 51.8 ± 33.3 μg/m3。与春季相比,冬季的PM2.5含有更多金属元素,冬季PM2.5中的金属含量高于春季。由于冬季相对湿度较低,铁路车轮与钢轨之间的摩擦系数增大,从而增加了颗粒物的排放量。站台空气中铬元素导致的致癌风险超过可接受范围。此外,还应对钡诱发的健康风险进行更进一步的研究。研究结果表明,应重视地铁站的PM2.5细颗粒物控制,尤其是冬季站台上的细颗粒物控制。
研究背景:
地铁系统是全球公共交通的重要组成部分。2019 年,全球193个城市拥有自己的地铁系统,每年共提供580多亿人次的出行服务。东京、莫斯科和上海拥有世界上最繁忙的地铁网络,日乘客量分别为1070万人次、700万人次和610万人次。根据中国地铁协会的数据,2022年中国地铁系统运送的乘客占公共交通乘客总数的45.8%。在上海、深圳、北京和广州等城市,这一比例已超过50%。随着城市化的发展,中国的地铁建设将继续增长,营造健康舒适的地铁站环境至关重要。
在全球多个城市进行的研究中,有80%的地铁站超过了世界卫生组织(WHO)规定的PM10和 PM2.5的标准。除了颗粒物浓度偏高,地铁站细颗粒物的化学成分组成也与大气不同。研究表明,地铁站收集的颗粒物中普遍含有金属元素。与室外PM1相比,金属(尤其是 Ba、Pb、Cr、Cu、Ni、Mn、Ti、V 和 Zn)在 Imam Khomeini 地铁站含量较高。Teresa Moreno 等人报告说,刹车释放的铁颗粒呈片状,含有钡、锌和铜等微量元素,较高的金属浓度可能预示着更高的健康风险。与可吸入颗粒物结合的重金属存在可能会导致健康危害,可能引发活性氧(ROS)介导的心肌毒性。Winnie Kam 等人的研究表明,在地铁沿线收集的可吸入颗粒物中,ROS活性与水溶性铁和镍高度相关。Debananda Roy 等人发现铅、铬和镍是造成危害商数(HQ)的主要因素,其中铬是地铁站最主要的致癌元素。Wang等人已经证明了平台可吸入颗粒物的氧化潜能,其浓度超过环境可吸入颗粒物浓度的三倍以上,对与铬有关的潜在致癌性令人担忧。
尽管地铁站的污染现状已被众多学者报告,但很少有人对颗粒物的通风控制效果进行评估。冬春两季利用定量排风形成的无组织通风模式在中国地铁广泛应用,包括在冬季采暖和颗粒物污染严重的城市。此时系统仅有排气扇运行,通过站台建筑外围护结构的渗透和风井,而非风管向站内提供新鲜空气,不仅很难防止大气环境污染进入室内,而且站内自身产生的空气污染排除效果可能不佳。因此,应研究无组织通风对颗粒物空气污染控制的影响,尤其是严重的大气颗粒物污染是否会加剧室内颗粒物的浓度。同时应进一步检测颗粒物中的金属含量以制定有效的健康保护策略。此外,地铁站细颗粒物引起的不适和不满的研究也很有限,而颗粒物是室内空气质量评价的一个重要指标。
这项研究包括测量和分析天津站地铁站冬季和春季的PM2.5和PM1浓度以及金属成分。两个季节的对比分析大气污染及通风效果的影响。同时还测量了空气温度、相对湿度和二氧化碳(CO2)浓度。此外,进行了室内空气质量(IAQ)问卷调查,评估地铁站工作人员对站内不同地点空气质量的满意度,并分析了细颗粒物中金属的致癌和非致癌风险。这些研究结果可加深我们对现有地铁站台空气质量状况的了解,并有助于为中国地铁站制定相关IAQ标准。
主要成果:

图 1 地铁站站厅及站台空气参数 (a) 热舒适区的焓湿图;(b) 二氧化碳浓度;(c) PM1的质量浓度;(d)PM2.5的质量浓度。
1. 春季的温度保持在热舒适区内。冬季室内温度低于热舒适度,工作人员可以通过穿衣和使用电加热器调节热舒适度。

图 2 高峰时段站台和站厅颗粒物粒径分布
2. 站台上的 PM1/PM2.5 比率在春季明显低于冬季(P < 0.05)且与湿度呈显著负相关(P < 0.05)。

图 3 基于环境可吸入颗粒物的冬春季可吸入颗粒物富集因子
3. 与冬季大气颗粒物相比,在站台上收集的 PM2.5 和 PM1 富含锰、铁、铜、钼和锑元素。锰、铁、铜、锰和锑富集因子均大于 5,都来源于地铁铁轨摩擦产生。其中钼、锑、铁元素的浓度分别是大气颗粒物的88,52,和27倍。

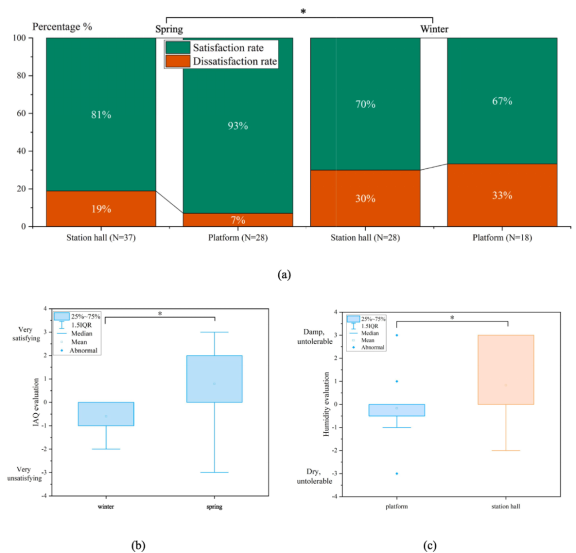
图 4 室内空气质量评价结果(a)地铁站空气不满意率结果(b)冬春两季女性对站台室内空气质量的评价(c)春季女性对站台湿度的评价(*:P < 0.05)
4. 问卷调查结果表明,与春季相比,地铁工作人员在冬季对室内空气质量满意率更低。冬季对站厅和站台的不满意率超过 20%,明显高于春季(P < 0.05)。在春季,女性工作人员感觉到站台的湿度明显低于站厅(P < 0.01)。

图 5 地铁站工作人员在调查问卷中报告的病态建筑综合征症状及比例
5. 没有病态建筑综合征症状的工作人员比例从春季的 82.9 %下降到冬季的25 %。最常报告的症状(≥40 %)包括口干、唇干、喉咙干和疲惫。与春季相比,冬季的相对湿度较低,PM1 和 PM2.5 的质量浓度较高。逻辑回归模型表明,相对湿度(P < 0.01,回归系数:-2.466)和 PM2.5(P < 0.05,回归系数:3.48)对病态建筑综合征症状发生概率有显著影响,这意味着湿度较低和 PM2.5 质量浓度较高可能与病态建筑综合征症发生概率较高有关。
致谢:该研究获得“十四五”国家重点研发项目(项目编号: 2022YFC3702803)与天津市自然科学基金重点项目(项目编号:21JCZDJC00560)资助
引用格式:
Wang, Z., Liu, J., Yao, M., He, M., Shang, W., & Dong, X. (2024). Indoor air quality and sick-building syndrome at a metro station in Tianjin, China. Environment International, 108673.
原文链接:https://www.sciencedirect.com/science/article/pii/S0160412024002599?via%3Dihub
稿件编辑:王祖琨
审核人:刘俊杰
田媛
于欣宇