时间:2024-08-06 点击量:
建造环境(BERL)课题组张稼昕博士在中科院一区期刊《Building and Environment》(JCR Q1, IF=7.1)发表论文, 评估便携式空气净化器在负压隔离病房中靶向清除气溶胶的有效性和能源效率。
Assessing the portable air cleaner's effectiveness and energy efficiency in targeted removal aerosols from a negative pressure isolation ward
该研究获得“十四五”国家重点研发项目资助(NO. 2022YFC3702803)
项目所属专项大气与土壤、地下水污染综合治理,负责课题名称室内气载污染物有机毒性和氧化活性定量评价及协同净化技术。
课题主要研究内容:
(1)超细颗粒和 SVOCs 高效协同净化技术
(2)新型靶向通风气流组织和空气净化对病原体污染的协同驱除机理及效果。
课题主要创新点:
(1)建立兼顾认知和生理的健康评价方法,突破多污染物协同治理技术
(2)提出新型靶向汇聚气流组织通风新理念新技术
Jiaxin Zhang(张稼昕), Junjie Liu(刘俊杰), Shihao Wen(文诗豪), Sumei Liu(刘素梅,通讯作者)
• 评价了负压隔离病房内放置空气净化器对病原体的去除性能。
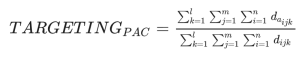
• TARGETINGPAC可以评价空气净化器的靶向排污性能。
• 放置空气净化器后使通风系统的靶向性提高了62.5%。
• 便携式空气净化器可将体表病原体负载量降低85.2% ~ 88.8%。
• 在病房放置净化器后可使能源消耗减少12.6% ~ 31.1%。
2019年爆发的COVID-19疫情无情地夺去了全球超过700万人的生命。隔离措施被证明是控制疾病传播和保障公众健康的最有效手段。负压病房和负压隔离病房(NPIWs)在治疗患者和保护医护人员健康方面发挥着至关重要的作用。通过维持负压,NPIWs可以防止高风险病原体的逸散,并通过使用全新风和高换气次数快速去除患者呼出的气溶胶,从而确保医护人员的安全。然而,标准规定的全新风和高换气次数使得医院的能耗显著增加,这给许多医院带来了巨大的挑战。研究表明,医院的能耗是其他公共建筑的1.6到2.0倍,住院部门的能耗占医院整体能耗的25%至40%。研究显示,合理的气流模式可以在节能的同时提升污染物的去除效果。
美国供热、制冷和空调工程师学会(ASHRAE)推荐了几种减缓室内空气传播疾病扩散的策略。这些策略包括上部空间紫外线杀菌照射(UVGI)、增强过滤、个人通风、局部排气通风、温度和湿度控制,以及使用便携式空气净化器(PACs)。PACs使用高效颗粒空气(HEPA)过滤器来去除空气中的污染物。研究表明,PACs对医疗设施和住宅环境中生物气溶胶的去除具有积极影响。此外,研究表明,PACs不仅是改善室内空气质量的最经济方案,也是最节能的策略。
总之, PACs在去除空气中的生物气溶胶方面已被证明是有效的,同时还具有显著的经济和节能效益。对于负压隔离病房(NPIWs),由于高换气次数带来的能耗已经相当可观,采用上述方法无疑会进一步增加能耗。目前关于NPIWs中全局通风与PAC耦合机制的研究仍然非常有限。为填补这一空白,本研究利用PAC回风口处的回风汇流和PAC送风口处的送风射流,在病房已有全局通风系统内建立了一个定向气溶胶去除通道。PAC的角色不再是提供额外的CADR,而是作为连接污染源与全局通风排风口的桥梁。本研究旨在通过在NPIW中放置PAC,提高耦合系统中气溶胶的靶向去除效果,即去除的精度,以实现低能耗下的高去除率。此外,提出了“TARGETINGPAC”指标,以定量评估耦合系统的靶向气溶胶去除效果。本研究的发现为在NPIWs中使用PAC提供了有价值的指导,并有助于未来病房PAC智能控制系统的发展。
1. 评估耦合系统(PAC+全局通风)靶向性的新指标TARGETINGPAC

其中da为气溶胶/颗粒物从源处释放受室内气流组织的影响运动至排风口处的实际运动距离。d为理想排污轨迹即源与排风口的直线距离。i为源处的网格数,j为排风口数量,k为源数量。
图7描述了使用PAC及不使用PAC时病房内患者呼出气溶胶的运动轨迹图。观察到使用PAC后气溶胶定向被PAC吸入,并未运动至医护人员周围,即使存在未完全净化的气溶胶也会被送入排风口。然而未使用PAC的病房,气溶胶轨迹围绕医护人员,威胁医护人员的健康安全。图8采用新指标TARGETINGPAC定量评估了不同换气次数耦合PAC的靶向性。放置PAC后可使靶向性提升38.5%-62.5%。
Figure 7. The trajectory of the aerosols exhaled by the patient in the ward: (a) with a PAC; (b) with no PAC.
Figure 8. Comparison of improvements in targeting global ventilation with and without PACs.
2. 医护人员体表病原体附着情况定量分析
对医护人员体表病原体附着情况进行定量分析,放置PAC后身体各部位体表病原体负载量均低于感染剂量(400 copies)。
Figure 9. Comparison of viral load and passive exposure risk for HCWs in different standing positions and at different body sites (15 ACH).
3. 节能潜力分析
如图13(a)所示,全局通风与PAC模式的结合在单位换气次数下的气溶胶去除效果显著高于仅使用全局通风的情况。在15 ACH、12 ACH和10 ACH通风系统下,PAC的加入分别使单位ACH的气溶胶去除量增加了63.6%、34.0%和20.6%。相反,仅仅提高全球通风的ACH并未实现有效的气溶胶去除。当ACH从12提高到15时,单位ACH的气溶胶去除量反而下降了4.4%。
在能耗方面,全新风空调系统在夏季和冬季主要承担冷却和加热负荷。使用便携式空气净化器(PACs)不仅提高了洁净空气供应率(CADR),还减少了加热和冷却所需的能量。如图13(b)所示,与15 ACH相比,10 ACH + PAC在典型冬季和夏季日子的总能耗分别减少了31.1%和30.1%。同样,与12 ACH相比,10 ACH + PAC在典型冬季和夏季日子的总能耗分别减少了13.8%和12.6%。因此,将PAC放置在病房中不仅提高了单位ACH的气溶胶去除效率,还可显著节约能源,节省幅度在12.6%至31.1%之间。
Figure 13. (a) Comparison of the accumulated removed aerosols under different ventilation modes. (b) Comparison of the daily energy consumption in winter and summer under different ventilation modes.
通过在病房内有针对性地放置便携式空气净化器(PAC),可以改变患者咳嗽时释放的气溶胶的运动轨迹,使其朝向PAC的一侧移动。未被PAC有效净化的气溶胶可以被引导至排风口排出。通过这种方式,PAC充当了污染源与排风口之间的桥梁,既为源头产生的气溶胶提供了吸引力,又将部分未净化的气溶胶吹向出口。因此,通过放置PAC,通风系统的靶向气溶胶去除能力可以提高38.5%至62.5%。
研究发现,病毒主要附着在医护人员的腿部、身体和手臂上,这突显了对这些区域进行优先消毒的重要性。放置PAC后,医护人员身体表面的平均病毒载量显著下降了86.9%。将PAC与15 ACH的系统结合使用,可以使被动暴露风险降低到35.0%以下,从而显著降低病毒传播的潜在风险。
在典型的冬季和夏季,在病房内放置PAC可使能源效率提高12.6%-31.1%,并且单位ACH的气溶胶去除效果得到显著改善。
Zhang J, Liu J, Wen S, et al. Assessing the portable air cleaner's effectiveness and energy efficiency in targeted removal aerosols from a negative pressure isolation ward [J]. Building and Environment, 2024, 262: 111851.
原文链接:https://doi.org/10.1016/j.buildenv.2024.111851
稿件编辑:张稼昕
审核人:刘俊杰
刘素梅
于欣宇